Multi-Angle Static Light Scattering (MALS) is the preferred choice with scientists when determination of absolute molecular weight is a necessity. This technique not only has a solid basis in physics, it is also well understood, documented and widely used. MALS technology is used by scientists either as a GPC/SEC detector with a fixed number of angles, or as part of a goniometer system offering a wide and user selectable range of angles of detection. While both these commercial implementations of MALS technology offer different strengths and weaknesses, they absolutely share the same fundamentals, possibilities and dependencies.
In most molecular weight determinations, the major source of error or inaccuracy is often related to sample preparation. In the case of GPC/SEC MALS protocols, both concentration and absolute injection volume need to be known with high accuracy. Any error in these values will directly affect the accuracy of molecular weight. In the case of a goniometer system, all sample concentrations used in the calibration must be prepared with highest accuracy. Filtration must not modify to any extent the sample or its concentration.
Providing these prerequisites are fulfilled, it is not uncommon for users to trust the determined molecular weights. Unfortunately, this overlooks the importance and impact of a sample and solvent specific parameter: the specific refractive increment index - dn/dc.
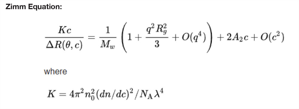
The specific refractive index increment (dn/dc) describes the change in refractive index of the solution as a function of changes in concentration of the solute. This parameter is of exceptional importance when Static Light Scattering is used for molecular weight determination, as it is a squared term within the Zimm equation which is the standard way of determining absolute molecular weight. Consequently, a relatively small error in dn/dc will affect double the molecular weight, a 5% error will lead to a 10% error in molecular weight.

As dn/dc is a very specific parameter influenced by other parameters including wavelength and temperature, the most commonly employed practice of using literature values, cannot be considered sufficiently robust to achieve reliable accuracy.

The inaccuracies introduced by using literature values is of particular importance when natural macromolecules such as proteins are object of investigation. Commonly in published investigations – scientists have assumed the dn/dc of any protein to be 0.185 ml/g but it is known to range from 0.160 ml/g to 0.200 ml/g. This incorrect assumption introduces a potential 15% error in dn/dc thus creating a potential 30% error in the determined molecular weight.
In the framework of a investigation to demonstrate the importance of accurate dn/dc values we investigated four hydrolized protein samples from different animal sources used by pharmaceutical, neutraceutical and cosmetic companies. These samples ranged from very low molecular weight of just few hundreds Dalton to several 10,000 Dalton hydrolized proteins.

The measured results (see below) show that dn/dc of all tested samples is around 0.160 mL/g, thus far lower than the commonly assumed 0.185 mL/g. Introduction of these actual values for the specific refractive index increment (dn/dc) enabled a more trustworthy determination of the hydrolized protein sample molecular weights.

Molecular weight determination by MALS or a goniometer, is critically dependent on using correct values of concentration and dn/dc. Determination of dn/dc is a very simple task when modern instruments such as the TESTA Analytical Differential Refractometer (see https://www.testa-analytical.com/differential-refractometer.html) are utilized.
To receive the requested information from Testa Analytical, complete and submit the form below.
Your message has been forwarded to our team and we will reply as soon as possible. Thank you for your patience.
Testa Analytical uses cookies to distinguish you from other users of our website. This helps us to provide you with a good experience when you browse our website and also allows us to improve our site.
A cookie is a small file of letters and numbers that we store on your browser or the hard drive of your computer if you agree. Cookies contain information that is transferred to your computer's hard drive.
We use different technologies e.g. to measure the use and efficacy of a website, for authentication or to simplify website navigation. Cookies are one such technology. A cookie is a data element which a website sends to your browser. The cookie is saved on your system as an identifying piece of information that identifies your system.
Visitors' IP addresses are captured on our websites for the analysis of malfunctions, the administration of the website and the attainment of demographic characteristics. Furthermore, we use IP addresses and, as necessary, other information which you have made available to us on this website or by other means to find out which of our website are being visited and what topics interest our visitors.
Most browsers are now set by default to accept cookies automatically. However, you can also limit the use of cookies via your browser setting. We recommend that you accept cookies because cookies enable you to use several of the functions on our websites. Not accepting cookies may disrupt necessary functions on our websites. For details, see https://cookiesandyou.com/.
© 2026 TESTA Analytical Solutions e.K. All rights reserved.